经管院首页  |   招生咨询:0871-68314770

提升企业价值  成就财务梦想

College of Finance and Economics

当前位置:财会金融学院  >>  学生发展  >>  学院活动  >>  浏览文章

品书香悟进步,展青春筑国魂 | 财会金融学院寒假读书分享第一期

2025年03月27日    财会金融学院    0

在新时代的浪潮中,国家精神是民族发展的强大动力,激励着一代又一代中华儿女奋勇前行。而书籍,作为人类进步的阶梯,承载着智慧与文明,是大学生汲取知识、提升自我、培育家国情怀的宝贵源泉 。这个寒假,云南经济管理学院财会金融学院积极引导学生开展阅读好书活动,同学们在字里行间探寻进步的力量,感悟国家精神的深刻内涵。如今,一场别开生面的寒假阅读好书读后感分享会,正让这些思想的火花激烈碰撞。

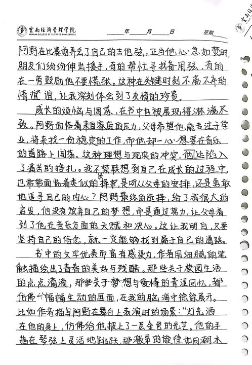
姓名:余轩


品书香悟进步,展青春筑国魂 | 财会金融学院寒假读书分享第一期 第 1 张

品书香悟进步,展青春筑国魂 | 财会金融学院寒假读书分享第一期 第 2 张

姓名:侯思语

品书香悟进步,展青春筑国魂 | 财会金融学院寒假读书分享第一期 第 3 张

品书香悟进步,展青春筑国魂 | 财会金融学院寒假读书分享第一期 第 4 张

品书香悟进步,展青春筑国魂 | 财会金融学院寒假读书分享第一期 第 5 张

品书香悟进步,展青春筑国魂 | 财会金融学院寒假读书分享第一期 第 6 张

姓名:陈康艳

品书香悟进步,展青春筑国魂 | 财会金融学院寒假读书分享第一期 第 7 张

品书香悟进步,展青春筑国魂 | 财会金融学院寒假读书分享第一期 第 8 张

品书香悟进步,展青春筑国魂 | 财会金融学院寒假读书分享第一期 第 9 张

姓名:郑文婷


品书香悟进步,展青春筑国魂 | 财会金融学院寒假读书分享第一期 第 10 张

品书香悟进步,展青春筑国魂 | 财会金融学院寒假读书分享第一期 第 11 张

品书香悟进步,展青春筑国魂 | 财会金融学院寒假读书分享第一期 第 12 张

姓名:曹怡

品书香悟进步,展青春筑国魂 | 财会金融学院寒假读书分享第一期 第 13 张


品书香悟进步,展青春筑国魂 | 财会金融学院寒假读书分享第一期 第 14 张

版权所有 © 云南经济管理学院-财会金融学院    滇ICP备05007082号    

Copyright  云南经济管理学院-财会金融学院